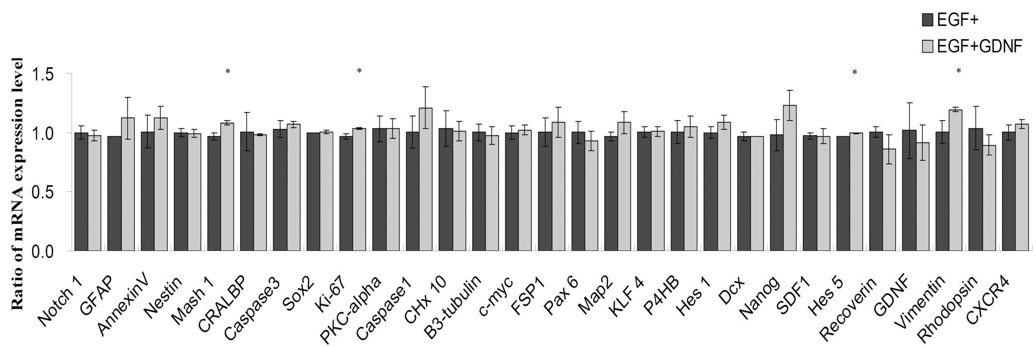
Figure 8. Effect of the glial cell
line-derived neurotrophic factor (GDNF) on gene expression profile of
retinal progenitor cell (RPCs) evaluated by qPCR. After 5 days of
culturing in either the epidermal growth factor (EGF) alone or in
EGF+GDNF conditions, the expression of the selected progenitor through
retinal and apoptosis markers was evaluated by quantitative
reverse-transcription PCR. For each gene, expression levels in the
EGF-alone condition (black) were set to 1.0, and the relative
expression in the EGF+GDNF condition (gray) was expressed
proportionately. Expression levels of the progenitor markers Nestin,
Sox2, Ki-67, Chx10, C-myc,
and Vimentin were sustained with the addition of GDNF,
suggesting that the progenitor phenotype is not negated by exposure to
this cytokine. Similarly, expression levels of the precursor and
lineage-related markers CRALBP, PKC-α, βIII-Tubulin,
MAP2, DCX, and Recoverin were not significantly
affected by the addition of GDNF to EGF-based proliferation medium.
However, there were small but statistically significant increases in
the expression of Vimentin (1.20 fold), Mash 1 (1.12
fold), Ki-67 (1.07 fold), and Hes5 (1.03
fold) versus the same gene under EGF-alone conditions (*p<0.05). The
x-axis shows different genes; the y-axis shows ratios of mRNA
expression levels for the treatment groups.
