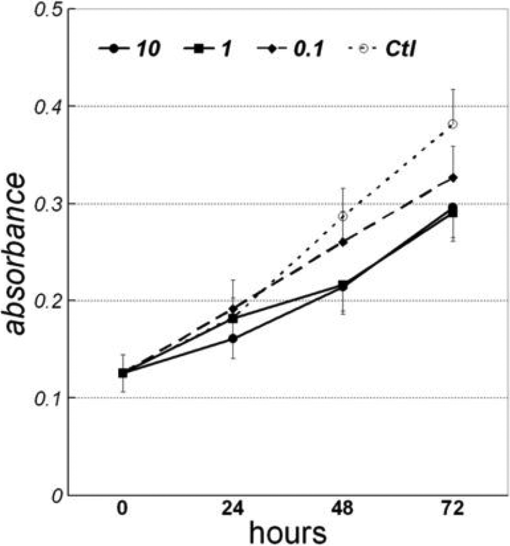
Figure 3. Temporal changes in the absorbance over the dexamethasone (DEX) treatment. Trabecular meshwork cells cultured in 0, 0.1, 1,
and 10 μm of DEX were terminated at the indicated time, then stained with 3-(4,5-dimethylthiazol-2-yl)-2,5- diphenyltetrazolium
bromide (MTT) to obtain the absorbance measurement. The data represented the results of three independent experiments. Errors
on the points indicate standard deviation. Compared to control group, there were significant decreases of absorbance in 10
μm DEX-treated cells at 24 h (p<0.05) and in all three DEX groups at 48 h and 72 h (p<0.01).
