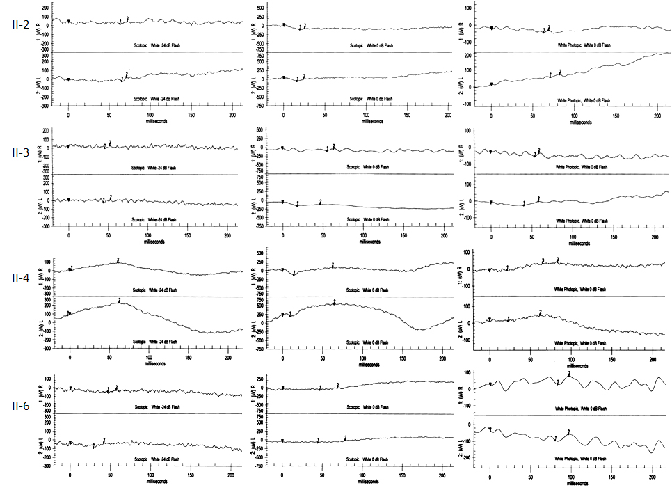
Figure 3 of Aldahmesh, Mol Vis 2010; 16:207-212.


Figure 3. ERG findings in a family with an LCA-like phenotype secondary to the CABP4 mutation. Scotopic and photopic ERG readings are shown for each of the four affected members, who are referred to using the IDs in Figure 1 and Table 1 (II-2, II-3, II-4, and II-6).