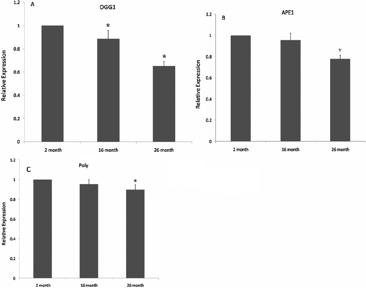
Figure 4. mRNA levels of BER enzymes are decreased in aged rat lens. Comparisons of the mRNA levels of BER enzymes: OGG1 (A), APE1 (B), and Polγ (C). GAPDH was used as internal standard for normalization. A: the expression level of OGG1 was decreased at 16 months (0.92±0.03, p<0.001, n=6) and 26 months (0.78±0.02, p<0.001, n=6),
compared to the 2 month old group, and there was significantly decreased at 26 months (0.78±0.02, p<0.001, n=6) compared to
16 months group (0.92±0.03, n=6). B: it is shown that the expression level of APE1 was decreased at 26 months (0.78±0.03,p<0.001, n=6) as compared to the 16
month (0.95±0.06, n=6) and 2 month old group, and there was no significant change between 16 month (0.95±0.06, p=0.075,n=6)
and 2 month old group. C: the expression level of Polγ was decreased at 26 months (0.90±0.05, p<0.001, n=6) compared to the 2 month old group, and
there was a significantly decrease at 26 months (0.90±0.05, p=0.03, n=6) compared to the 16 months group (0.95±0.04, n=6).
