Figure 4 of Ren, Mol Vis 2010; 16:1076-1086.


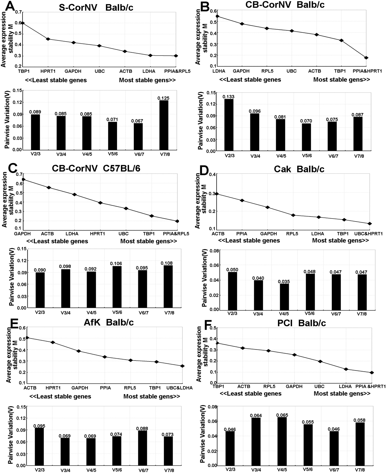
Figure 4. Average expression level stability (M) and pairwise variation (V) of 8 HKGs as assessed by geNorm analysis. The genes with the lower M values are considered to have more stable expression levels. Pairwise variation was used to determine the optimal number of HKGs required for normalization. According to the algorithm and instructions provided with the software, a cutoff of 0.15 for V was used. It was apparent from analysis of all studied models that a combination of two HKGs is sufficient for normalization.