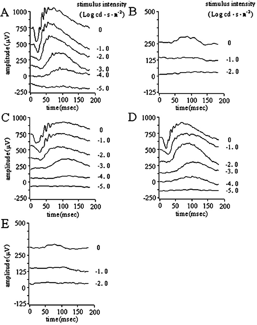
Figure 3. Dark-adapted (rod-derived) ERG analysis showing retinal function of seven-month-old normal and rd12 mice following either intravitreal or subretinal injection, or no injection. Restored ERGs are independent of whether the
partner eye was pretreated with the same vector or not. Dark-adapted photoresponses are shown at different input flash intensities
from an uninjected normal C57BL/6 (A) and an uninjected rd12 eye (B). Panel C shows the ERGs from the left eye of an rd12 mouse five months after subretinal injection at eight weeks of age, while the right eye of the same mouse had received intravitreal
vector four weeks before the subretinal injection (E). Panel D shows ERGs from an rd12 eye five months following only a subretinal injection at eight weeks of age with no prior treatment of the partner eye.
