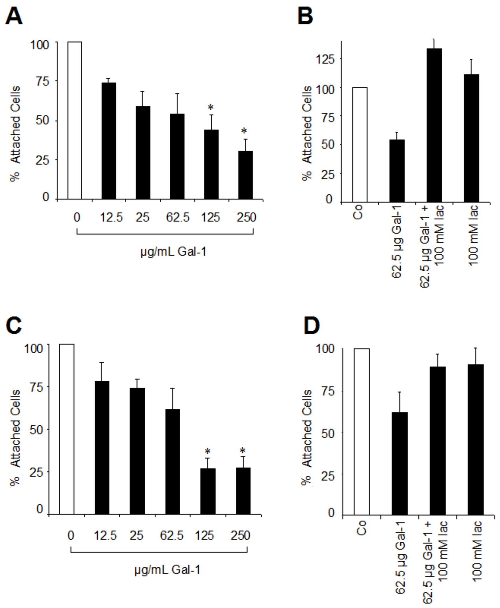
Figure 3. Effect of galectin-1 on RPE cell
adhesion. A, C: Galectin-1 inhibits RPE cell attachment
to Fn (A) and Lam (C) in a dose-dependent manner. RPE
suspensions were incubated for 35 min with the indicated concentrations
of galectin-1 (Gal-1) and then plated on wells coated with Fn or Lam at
a density of 2×104 cells per well. Values indicate means±SD
of four experiments performed in triplicate and are expressed as
percentage of controls without galectin-1 in the medium. B, D:
The inhibitory effect of galectin-1 on attachment of RPE cells to Fn (B)
and Lam (D) is mediated via carbohydrate binding. RPE cells were
initially incubated in the presence or absence of 100 mM β-lactose
(lac) as indicated. Values represent means±SD of three experiments
performed in triplicate and are expressed as percentage of controls
(Co) without galectin-1 or β-lactose in the medium. Statistical
analysis was performed using Students t-test and a p value
<0.05 was considered as statistically significant (*).
