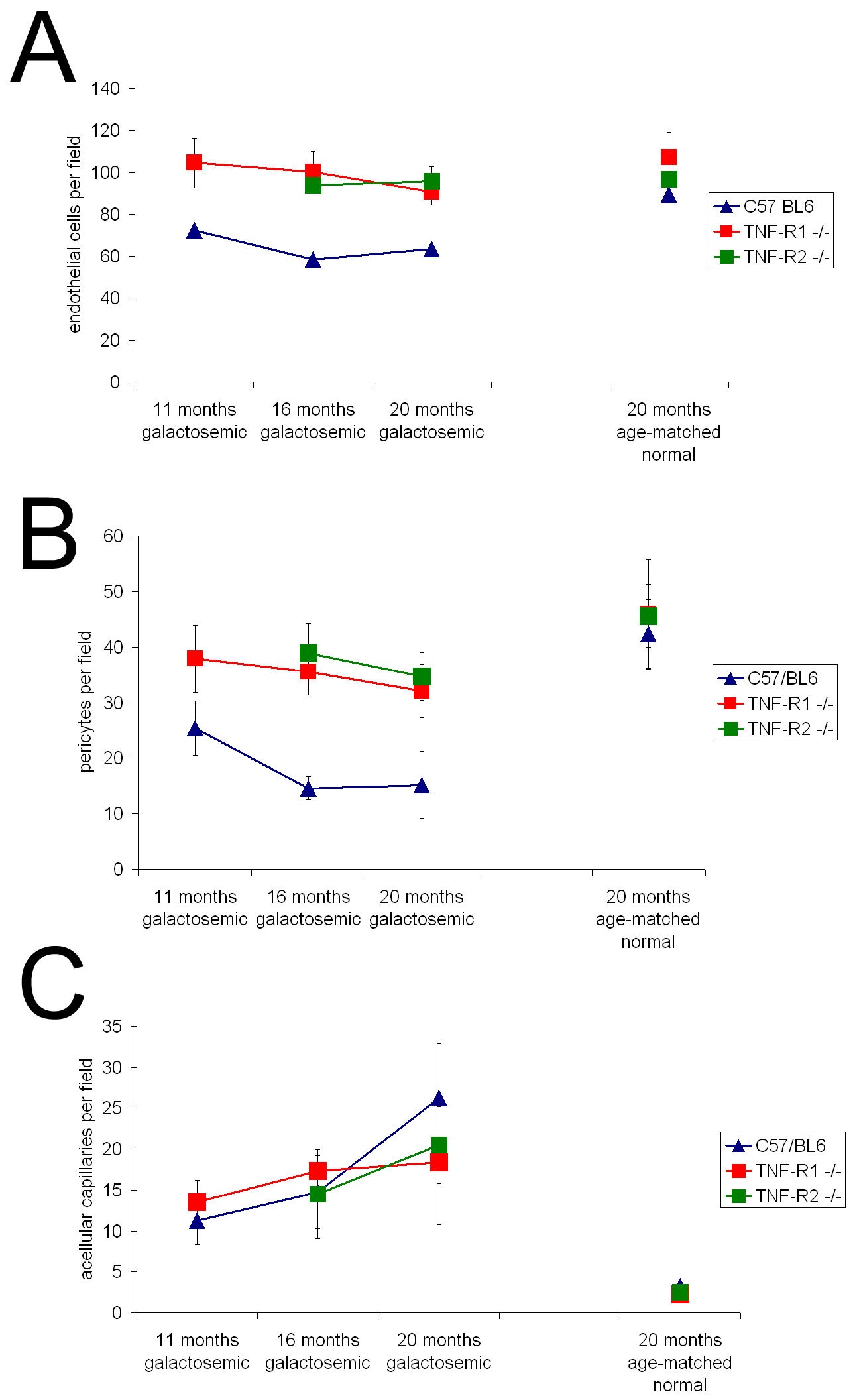
Figure 7. Retinal histopathological changes were investigated in galactosemic TNF-RI−/− and TNF-RII−/− mice and their respective wild-type
controls. Both the number of endothelial cells per field as well as the number of pericytes per field significantly decreased
throughout the course of the disease in the wild-type galactosemic animals (A, B). The number of acellular capillaries was significantly increased at 20 months of galactosemia (C).
