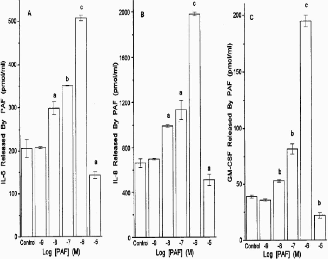
Figure 7. PAF-induced production of various cytokines in HCECs. Concentration-response studies were conducted with PAF in HCECs isolated
from different donor eyes, and the concentrations of IL-6 (A), IL-8 (B), and GM-CSF (C) released into the culture medium were determined by specific ELISA assays. The levels of the cytokines produced by buffer
alone or by PAF itself are also shown. Data are shown as mean±SEM from three or more experiments. a=p<0.05; b=p<0.01; c=p<0.001,
each p value relative to the control.
