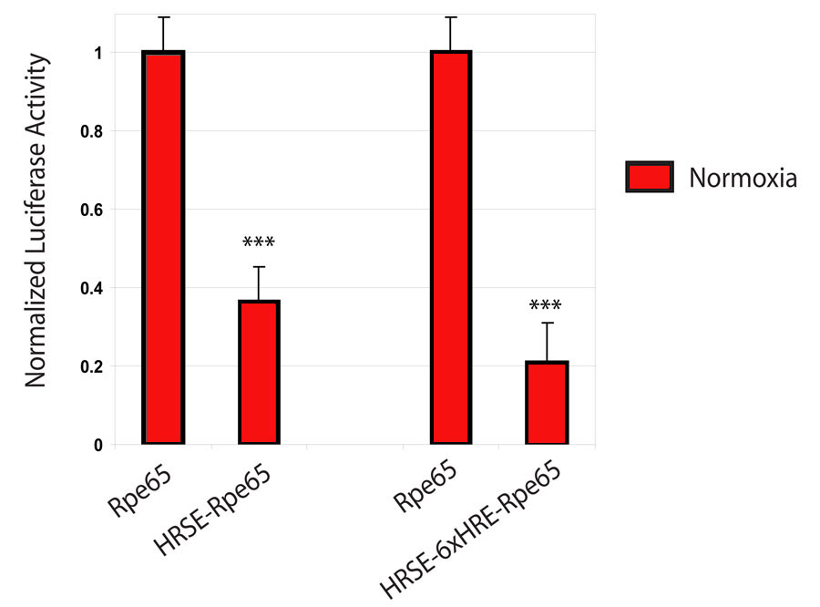
Figure 2. Normoxic dual luciferase expression using the Rpe65 promoter and the HRSE-6xHRE-Rpe65 promoter in transiently transfected
ARPE-19 cells. ARPE-19 cells were transiently transfected by cationic lipid and exposed to forty hours of normoxia. The silencing
of basal activity from the RPE65 promoter, under normal aerobic conditions, was due to the integration of the three neuron-restrictive
silencer elements within the hypoxia-regulated aerobically silenced element (HRSE). The activity of all promoters tested was
normalized to the Rpe65 promoter. The addition of the silencer elements in the HRSE reduced the normoxic activity of the Rpe65
promoter by 64% from 1.0 to 0.4±0.1 (n=6, p<0.001). Addition of six hypoxia-regulated elements (HREs) in HRSE-6xHRE-Rpe65
reduced the normoxic activity of the Rpe65 promoter by 79% from 1.0 to 0.2±0.1 (n=8, p<0.001). Asterisks (*) indicates statistical
significance.
