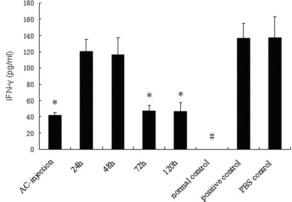
Figure 5. Detection of IFN-γ produced by splenocytes. Splenocytes were obtained from each group of mice seven days after s.c. immunization.
The cells were incubated in a complete RPMI 1640 medium with OVA (200 μg/ml) for 48 h in 24-well culture plates (4×106 cells/well). The levels of IFN-γ in supernatants were determined by ELISA. Data are the mean ± SEM (n=6 per group). The asterisk
indicates that p<0.05 when compared with the positive control. The hash mark means that the production of IFN-γ was lower
than the detection limit of the assay.
