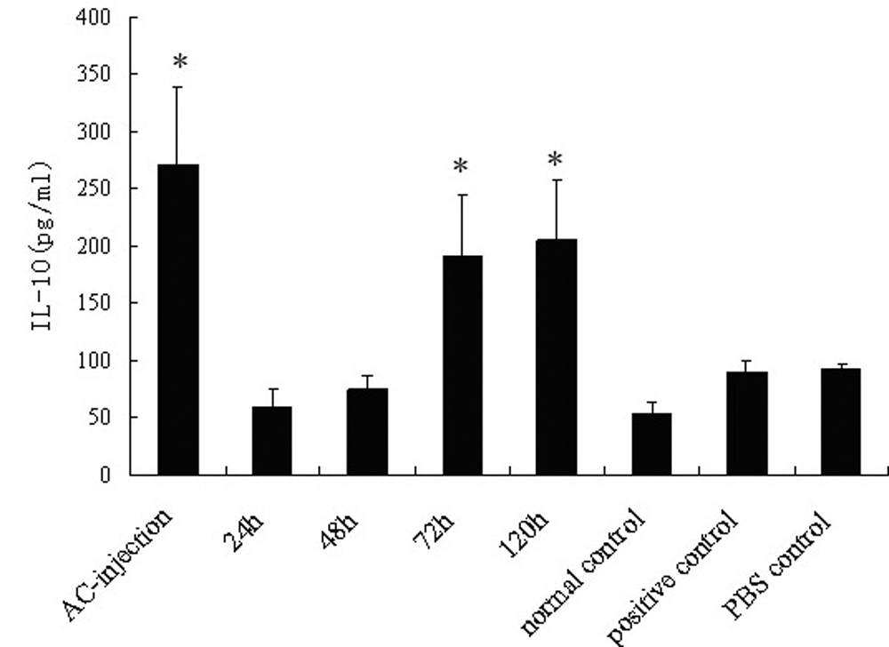
Figure 4. Detection of IL-10 produced by splenocytes. Spleens from each group of mice were harvested seven days after s.c. immunization
and were used for preparing a single-cell suspension. The cells were incubated in a complete RPMI 1640 medium with OVA (200
μg/ml) for 48 h in 24-well culture plates (4×106 cells/well). IL-10 in supernatants was quantified by ELISA. Data are the mean ± SEM (n=6 per group). The asterisk means that
p<0.05 as compared with the positive control.
