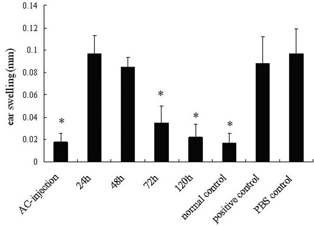
Figure 2. Delayed type hypersensitivity measurements were performed after an anterior chamber injection of ovalbumin. Mice that were
immunized via an s.c. injection of OVA in CFA seven days after AC injection of OVA acted as the AC-injection group. Mice received
a penetrating ocular injury 24 h (24-h group), 48 h (48-h group), 72 h (72-h group), or 120 h (120-h group) after an AC injection
of OVA on the OVA-inoculated eyes. This was followed by an s.c. injection of OVA in CFA seven days after the AC injection
of OVA. Mice without any treatment acted as normal controls. Mice immunized only with OVA in CFA acted as the positive controls.
Mice receiving an AC injection of sterile PBS and an s.c. injection of OVA in CFA seven days after the AC injection acted
as PBS controls. All mice received an ear challenge seven days after s.c. immunization. Both ear pinnae were measured before
(0 h) and 24 h after the ear challenge. Mean ± SEM ear-swelling responses are presented (n=6 per group). The asterisk indicates
that p<0.05 when compared with the positive control.
