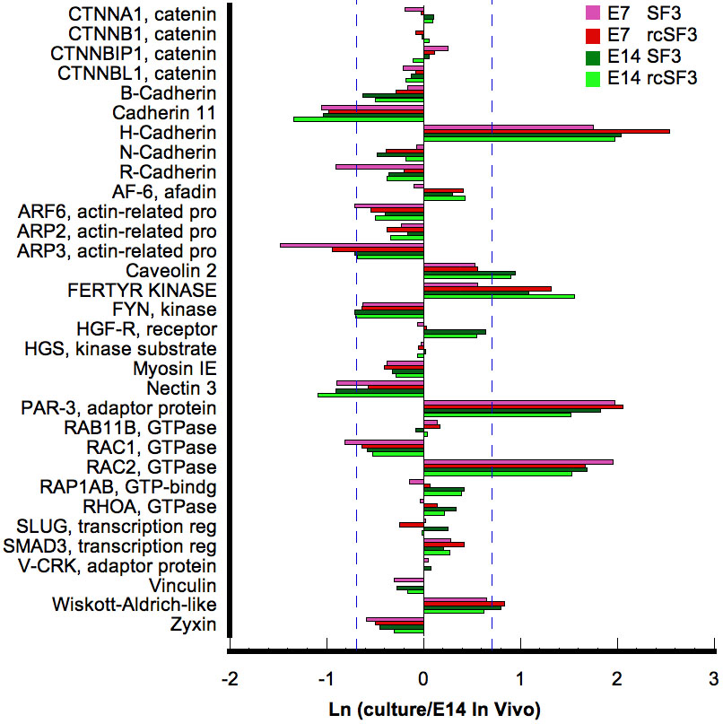
Figure 13 of Sun, Mol Vis 2008; 14:2237-2262.


Figure 13. The effects of rcSF3 and embryonic age on the genes of the adherens junction are limited to Arp3, H-cadherin, and R-cadherin. The ratio of (expression in culture)/(expression in native E14 RPE) is expressed as a natural logarithm. The dashed lines at ±0.7 represent a 2X deviation from expression on E14 in vivo. Complete gene descriptions and values for hybridization to the microarray are included in Appendix 6.