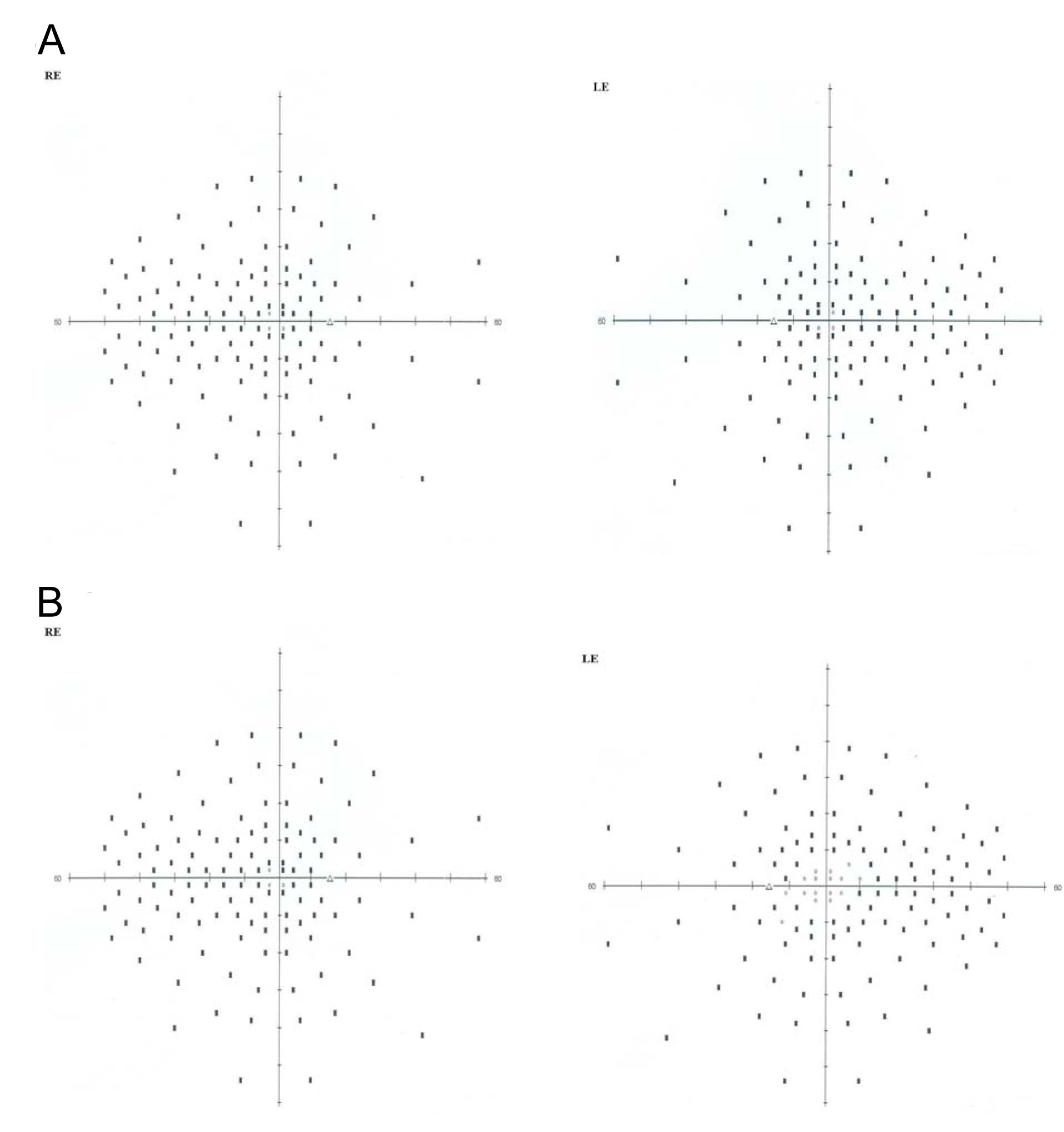
Figure 3. Visual field test results
obtained on the right (RE) and the left eye (LE) of the two patients
BT188 and BT189. A: Result of measuring the visual fields on
BT189 at 28 years of age. B: Result of measuring the visual
fields on BT188 at the age of 18 years. A series of random lights of
different intensities are flashed in the peripheral field of vision of
both patients. When they perceive the computer-generated light suddenly
appearing in their field of view they press a button to indicate their
responses, then we see this spot (Dot see). If the patient is unable to
see the light in an appropriate portion of his field of view, then we
see on the computer a spot (Dot don’t see) indicating vision loss.
Visual field loss was more severe in the older brother BT189. But in
both patients, the nasal and temporal fields were not preserved, and
only the central field was maintained.
