Figure 2 of
Suzuki, Mol Vis 2007;
13:772-778.
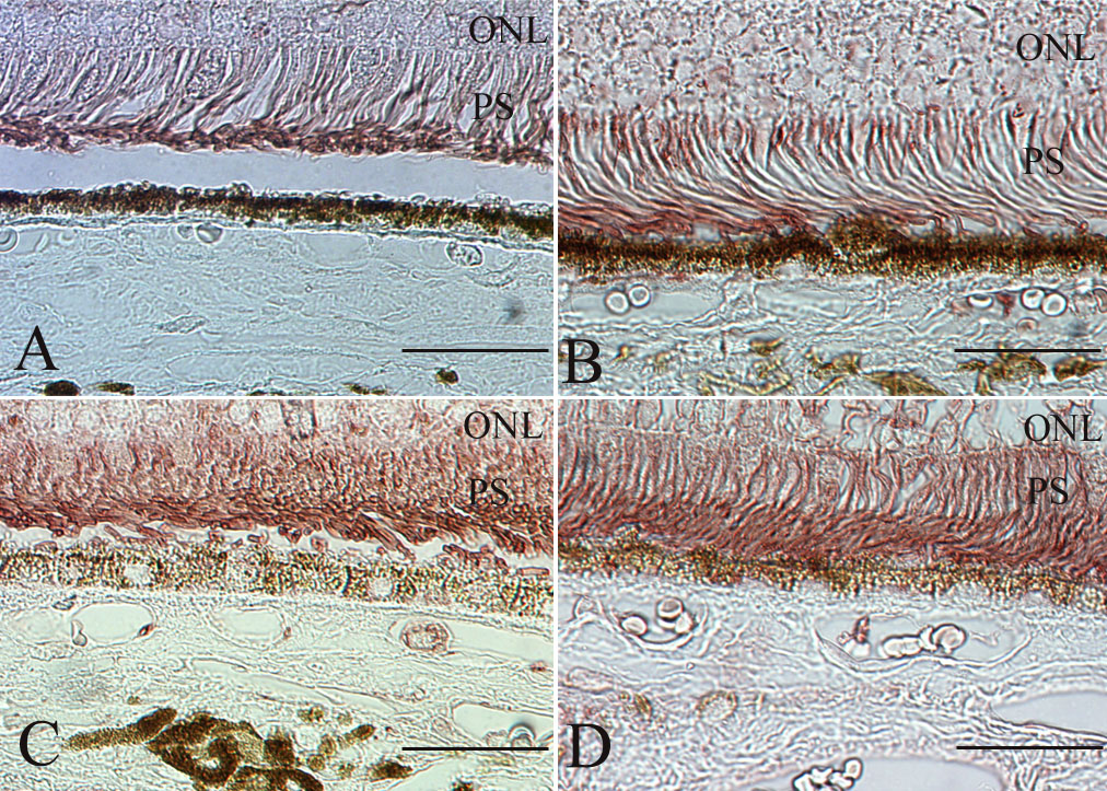
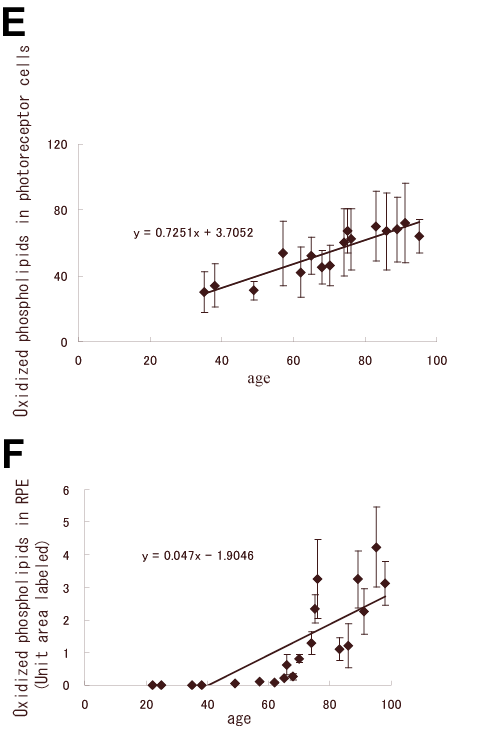
Figure 2. Increased oxidized phospholipids immunostaining with advancing age in normal eyes
Sections were from the following: (A) 38-year-old donor; (B) 57-year-old donor; (C) 65-year-old donor; and (D) 76-year-old donor. Original magnification, x600. Scale bar represents 50 μm. The eyes from the younger donors, especially the 38-year-old donor, is immunostained much less than the older eyes. E: Threshold values of immunoreactivity for oxidized phospholipids in the photoreceptors. F: Percentage area of field immunostained for oxidized phospholipids in the retinal pigment epithelium (RPE). ONL indicates outer nuclear layer, and PS represents photoreceptors.

