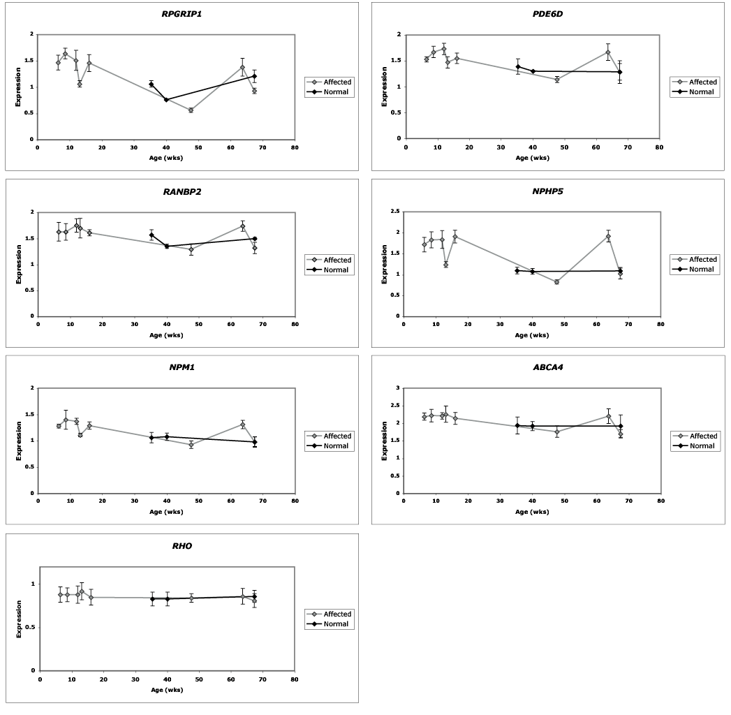
Figure 3 of
Guyon, Mol Vis 2007;
13:1094-1105.
Figure 3. Relative expression levels of RPGRIP1, RANBP2, NPM1, PDE6D, NPHP5, and ABCA4 genes in pre-degenerate XLPRA1 affected retinas
Expression level of opsin (RHO) is also shown as a control of retinal integrity. Normal retinas are in black symbols and lines; affected retinas are in light gray symbols and lines. Standard deviations calculated from 3 repeats also are shown.
