Figure 2 of
Guyon, Mol Vis 2007;
13:1094-1105.
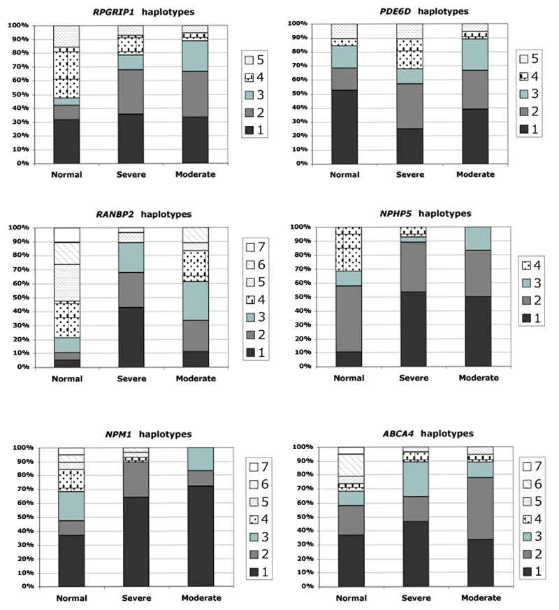
Figure 2. Haplotype frequencies in RPGRIP1, RANBP2, NPM1, PDE6D, NPHP5, and ABCA4 in normal dogs, and affected dogs with severe and moderate phenotypes
Haplotypes were numbered from one to seven, and frequencies were calculated from subsets of 10 normal, 9 moderate, and 14 severe XLPRA1 dogs. Table 3 identifies the haplotypes tested for each of the genes.
