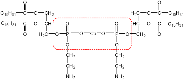
Figure 6 of
Wang, Mol Vis 2006;
12:283-289.
Figure 6. Chemical complex containing DPPE
Proposed chemical complex containing DPPE identified in asteroid bodies from galactose-fed dog vitreous. Chemical structure of the major component contains 2 molecules of DPPE complexed with calcium. The dashed box identifies the hydroxyapatite-like structure.
