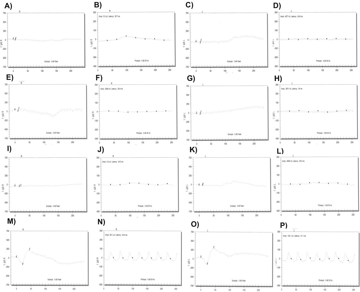
Figure 2 of
Riazuddin, Mol Vis 2006;
12:1283-1291.
Figure 2. Electroretinograms of affected and unaffected individuals
Electroretinogram recordings for individual 10 of Family 61074 (affected 25 year old); right eye, (A) Combined rod and cone response right eye (B) Cone response, left eye (C) Combined rod and cone response right eye (D) Cone response, individual 11 of family 61074 (affected 20 year old); right eye (E) Combined rod and cone response right eye (F) Cone response, Left eye (G) Combined rod and cone response left eye (H) Cone response, individual 12 of family 61074 (affected 15 year old); right eye (I) Combined rod and cone response right eye (J) Cone response and Left eye (K) Combined rod and cone response left eye (L) Cone response and normal control (unaffected 32 year old); right eye (M) Combined rod and cone response right eye (N) Cone response and Left eye (O) Combined rod and cone response right eye (P) Cone response left eye.
